基础数据结构
参考资料:
存储方式
数据结构的存储方式只有两种:顺序存储(数组)、链式存储(链表)。
| 名称 | 优点 | 缺点 |
|---|---|---|
| 数组 | 连续存储、随机访问o(1) | 需要扩容、插入o(n)、删除o(n) |
| 链表 | 无需扩容、知道位置则插入删除o(1) | 不连续存储无法随机访问o(n) |
其他数据结构则是基于这两种存储方式的“上层建筑”:
| 名称 | 顺序存储 | 链式存储 |
|---|---|---|
| 队列 | 数组实现 | 链表实现 |
| 栈 | 数组实现 | 链表实现 |
| 图 | 邻接矩阵 | 邻接表 |
| 树 | 堆 | 链表实现 |
| 散列表 | 拉链法 | 线性探查法 |
线性表
api:初始化,判空,尾部插入,插入,删除,按值查找,按下标查找,获取长度
顺序表实现
class ListByArray {
constructor() {
this.length = 0;
this.arr = [];
}
indexOf(target) {
for (let i = 0; i < this.length; i++) {
if (this.arr[i] == target) return i;
}
return -1;
}
lastIndexOf(target) {
for (let i = this.length - 1; i >= 0; i++) {
if (this.arr[i] === target) return i;
}
return -1;
}
getLength() {
return this.length;
}
getElement(position) {
if (position < 0 || position >= this.length) return false;
return this.arr[position];
}
insert(position, element) {
if (position < 0 || position >= this.length) return false;
for (let i = this.length; i > position; i--) {
this.arr[i] = this.arr[i - 1];
}
this.arr[position] = element;
this.length += 1;
return this.arr;
}
delete(position) {
if (position < 0 || position >= this.length) return false;
let currentItem = this.arr[position];
for (let i = position + 1; i < this.length; i++) {
this.arr[i - 1] = this.arr[i];
}
this.length -= 1;
return currentItem;
}
append(element) {
this.arr[this.length] = element;
this.length += 1;
return true;
}
}
链表实现(单链表)
参考链接:JavaScript数据结构——链表的实现与应用
单链表的结点结构:
单链表根据有无头结点分为带头结点的单链表、不带头结点的单链表:
引入头结点的两个优点:1. 对头结点的操作如插入、删除操作与其它结点一致;
API:按索引查找、尾部插入、插入、删除、按值查找、判空
class Node { // 首先需要一个辅助类,用来描述链表中的节点
constructor(val) {
this.val = val;
this.next = null;
}
}
class LinkedList {
constructor() {
this.length = 0; // 长度
this.head = null; // 头
}
getElement(position) {
// 考虑所给索引是否超出范围,然后遍历即可,先实现这个,是其他的基础
if (position < 0 || position >= this.length) return null;
let current = this.head;
for (let i = 0; i < position; i++) {
current = current.next;
}
return current;
}
append(element) {
// 如果链表为空和不为空的情况
let newNode = new Node(element);
if (this.head === null) this.head = newNode;
else {
let lastNode = this.getElement(this.length - 1);
lastNode.next = newNode;
}
this.length++;
}
isEmpty() {
// 判断是否为空
if (this.length == 0) return true;
return false;
}
insert(position, element) {
// 所给position不能超出边界值;再考虑是否插入的是首节点
if (position < 0 || position >= this.length) return false;
let newNode = new Node(element);
if (position === 0) {
newNode.next = this.head;
this.head = newNode;
} else {
let preNode = this.getElement(position - 1);
newNode.next = preNode.next;
preNode.next = newNode.next;
}
this.length++;
return true;
}
remove(position) {
// 是否超出范围;再考虑是否删除的首节点
if (position < 0 || position >= this.length) return false;
if (position === 0) {
this.head = this.head.next;
} else {
let preNode = this.getElement(position - 1);
this.preNode.next = this.preNode.next.next;
}
this.length--;
return true;
}
indexOf(element) {
let current = this.head;
for (let i = 0; i < this.length; i++) {
if (current.val == element) {
return i;
} else {
current = current.next;
}
}
return -1;
}
}
链表遍历
function traverse_iteration(head) {
// 链表的迭代遍历1
for (let p = head; p != null; p = p.next) {
console.log(p.val);
}
}
function traverse_iteration(head) {
// 链表的迭代遍历2
while(head){
console.log(head.val);
head = head.next;
}
function traverse_recurtion(head) {
// 链表的递归遍历
if (!head) {
console.log(head.val);
traverse_recurtion(head.next);
}
}
例题
寻找中间结点(快慢指针)
getMiddleNode() {
let fast = this.head;
let slow = this.head;
while (fast && fast.next && fast.next.next) {
fast = fast.next.next;
slow = slow.next;
}
return slow;
}
链表中是否含有环
hasCycle() {
let fast = this.head;
let slow = this.head;
while (fast && fast.next && fast.next.next) {
fast = fast.next.next;
slow = slow.next;
if (fast == slow) {
return true;
}
}
return false;
}
含有环返回环的起始位置 先让快慢指针相遇,再让其中一指针回到起点,两者再以相同速度前进,再次相遇即起始。
getCycleStart() {
let fast = this.head;
let slow = this.head;
while (fast && fast.next && fast.next.next) {
fast = fast.next.next;
slow = slow.next;
if (fast == slow) break;
}
slow = this.head;
while (slow && slow.next) {
slow = slow.next;
fast = fast.next;
if (slow == fast) return slow;
}
}
寻找链表倒数第k个元素 两个指针,让一指针先走K步,然后相同速度走,当快指针到头返回慢指针。
getLastK(k) {
let fast = this.head;
let slow = this.head;
let i = 0;
while (i < k && fast && fast.next) {
i++;
fast = fast.next;
}
if (i != k) return false;
while (fast) {
fast = fast.next;
slow = slow.next;
}
return slow;
}
循环单链表
将原来单链表末结点next原本的指向为null,改为指向头结点。
判空:
if(head === head.next)
双链表
双联表的节点结构:
即一个数据域,两个指针域:

循环双链表
将双链表头结点前驱指针指向末结点,末结点后驱指针指向头结点。

静态链表
即用顺序表来实现链表,即数组中保存着一个个结点对象,对象结构如下:
class Node {
constructor(val) {
this.val = val;
this.next = null; // next指向为结点的下标
}
}
栈
api:栈顶添加元素append、返回栈顶元素top、弹出栈顶pop。
链表实现栈
class Node {
constructor(val) {
this.val = val;
this.next = null;
}
}
class StackByLink {
constructor() {
this.length = 0;
this.tophead = null;
}
append(element) {
let newNode = new Node(element);
if (this.tophead == null) this.tophead = newNode;
else {
newNode.next = this.tophead;
this.tophead = newNode;
}
this.length++;
}
pop() {
if (this.length == 0) return false;
let current = this.tophead;
this.tophead = this.tophead.next;
this.length --;
return current;
}
top() {
return this.tophead;
}
}
顺序表实现栈
class StackByArr {
constructor() {
this.length = 0;
this.arr = [];
}
append(element) {
this.arr[this.length++] = element;
}
pop() {
if (this.length == 0) return false;
let current = this.arr[this.length - 1];
delete this.arr[this.length - 1];
this.length--;
return current;
}
top() {
return this.arr[this.length - 1];
}
}
队列
链表实现队列
class QueueByLink {
constructor() {
this.length = 0;
this.prehead = null;
this.bachead = null;
}
isEmpty() {
if (this.length === 0) return true;
return false;
}
append(element) {
let newNode = new Node(element);
if (this.length === 0) {
this.prehead = this.bachead = newNode;
} else {
this.bachead.next = newNode;
this.bachead = newNode;
}
this.length++;
}
shift() {
if (this.isEmpty()) return false;
let current = this.prehead;
this.prehead = this.prehead.next;
this.length--;
return current.val;
}
}
循环队列
注意点:如何判断队空还是队满,因为此时都有front=rear。有两种方式处理:
- 增加一个标识flag:初始时为false,当指针front变动时,flag为false;当rear变动时,flag为true。当front=rear且flag=true时队列满,当front=rear且flag=false时队列空。
- 增加一个计数count:初始为0,当rear变动则count+1,front变动count-1但不小于0;当count=队列长度则队列满,count为0队列空。
- 少用一个元素空间并规定rear=front为队列空,rear下一位置若为front则队列满。
(在rear处添加元素后,rear指针往后移动一格,所以rear指针所指的元素值为空)
PS:先实现是否队空、队满。

顺序表实现
class CircularQueue {
constructor(MaxSize = 3) {
this.MaxSize = MaxSize;
this.front = 0;
this.back = 0;
this.flag = false;
this.arr = [];
}
//判断是否为空队列
isEmpty() {
if (this.front == this.back && this.flag == false) return true;
return false;
}
//判断队列是否已满
isFull() {
if (this.front == this.back && this.flag == true) return true;
return false;
}
//返回队列元素个数
queueNums() {
let nums = null;
if (this.back - this.front) nums = this.back - this.front;
else nums = this.MaxSize - (this.front - this.back);
return nums;
}
//返回队列头部元素
top() {
if (this.isEmpty()) return false;
return this.arr[this.front];
}
//队尾插入元素
append(element) {
if (!this.isFull()) {
this.arr[this.back] = element;
this.flag = true;
if (++this.back === this.MaxSize) {
this.back = this.back % this.MaxSize;
}
return true;
}
return "队列已满";
}
//队头删除元素
shift() {
if (!this.isEmpty()) {
let current = this.arr[this.front];
this.arr[this.front] = null;
this.flag = false;
if (++this.front === this.MaxSize) {
this.front = this.front % this.MaxSize;
}
return current
}
return "队列已空";
}
//根据值查找索引
}
树
树的遍历
前序、中序、后续遍历;n叉树递归遍历
function tree_recurtion(root) {
// “前序遍历”
tree_recurtion(root.left);
// “中序遍历”
tree_recurtion(root.right);
// “后序遍历”
}
function tree_recurtion_n(root) {
// n叉树的递归遍历
for (node of root) {
tree_recurtion_n(node);
}
}
图示:
前序:1-2-4-6-7-3-5
中序:4-6-7-2-1-5-3
后序:7-6-4-2-5-3-1
两种遍历的递归写法等价:
function codec(res = [], root) { // code_1
if(!root) res.push("#");
else{
res.push(root.val);
codec(root.left);
codec(root.right);
}
return res;
}
let res = []; // code_2
function codec_2(root) {
if (!root) res.push("#");
else {
res.push(root.val);
codec(res, root.left);
codec(res, root.right);
}
}
二叉树遍历的迭代写法: **层次遍历: **[102] 二叉树的层序遍历
var levelOrder = function(root) { // 当前层、下一层
if(!root)return [];
let res = [];
let cur_layer = [root]; // 初始层为根节点
while(cur_layer.length){ // 当前层不为空时
let next_layer = []; // 用于存储下一层结点
let cur_vals = []; // 用于存储当前层的结果
for(let i =0;i<cur_layer.length;i++){ // 遍历当前层的结点
cur_vals.push(cur_layer[i].val); // 将当前层结果存储起来
if(cur_layer[i].left){ // 若该节点左子树存在,则存入下一层
next_layer.push(cur_layer[i].left);
}
if(cur_layer[i].right){ // 若该节点右子树存在,则存入下一层
next_layer.push(cur_layer[i].right);
}
}
if(cur_vals.length)res.push(cur_vals);
cur_layer = next_layer; // 当前层遍历完毕, 将当前层替换为下一层
}
return res;
};
结点结构
// 结点结构1
function TreeNode(val, left, right) {
this.val = (val===undefined ? 0 : val)
this.left = (left===undefined ? null : left)
this.right = (right===undefined ? null : right)
}
// 结点结构2
class TreeNode {
constructor(val) {
this.val = val;
this.left = null;
this.right = null;
}
}
二叉搜索树(BST)
定义:一个二叉树中,任意节点的值要大于等于左子树所有节点的值,且要小于等于右边子树的所有节点的值。 二叉树算法设计的总路线:把当前节点要做的事做好,其他的交给递归框架,不用当前节点操心。 特点:中序遍历得到有序数列。
BST遍历框架
function BST(root,target){
if(target === root.val){
// do something...
}
else if(target > root.val){
BST(root.right, target)
}
else{
BST(root.left, target)}
}
例题
判断是否BST 可以通过辅助函数增长参数列表,借助参数传递信息。
var isValidBST = function (root) {
// 验证是否是二叉搜索树
function helper(root, min, max) {
if (root === null) return true;
if (root.val <= min || root.val >= max) return false;
return (
helper(root.left, min, root.val) && helper(root.right, root.val, max)
);
}
return helper(root, -Infinity, Infinity);
};
判断是否有目标值
function isInBST(root, target) {
// BST中是否有目标值,有则返回对应根,无则null
if (target === root.val) return root;
if (target > root.val && root.right !== null)
return isInBST(root.right, target);
else if (target < root.val && root.left !== null)
return isInBST(root.left, target);
else return null;
}
插入一个数 从大范围考虑时,左右子树需要变化,则写法1;从小范围考虑时,一直遍历找到需要变化的地方,则写法2。
// 写法1:
var insertIntoBST = function (root, target) {
// 若根节点不存在,则插入新节点
if (root === null) return new TreeNode(target);
if (root.val < target) {
// 目标值插在根节点右边,则右子树需要变化
root.right = insertIntoBST(root.right, target);
} else if (target < root.val) {
// 目标值插在根节点右左边,则左子树需要变化
root.left = insertIntoBST(root.left, target);
}
return root;
};
// 写法2:
var insertIntoBST = function (root, target) {
function helper(root, target) {
if (root === null) return new TreeNode(target);
if (target < root.val && !!root.left) return helper(root.left, target);
else if (target > root.val && !!root.right)
return helper(root.right, target);
else if (target < root.val && root.left === null)
root.left = new TreeNode(target);
else if (target > root.val && root.right === null)
root.right = new TreeNode(target);
return root;
}
if (root === null) return new TreeNode(target);
helper(root, target);
return root;
};
删除一个数
function deleteBSTNode(root, target) {
if (root == null) return null;
if (root.val === target) {
// 找到则删除
if (root.left === null && root.right === null) return null;
if (root.left == null) return root.right;
if (root.right == null) return root.left;
if (root.left != null && root.right != null) {
// 左右子树都不为空,则用左子树最大的节点代替,或者使用右子树最小节点代替,然后删除对应节点
var minNode = minInBST(root.right);
root.val = minNode.val;
root.right = deleteBSTNode(root.right, minNode.val);
}
} else if (root.val < target) {
root.right = deleteBSTNode(root.right, target);
} else if (target < root.val) {
root.left = deleteBSTNode(root.left, target);
}
}
最小、最大的数
function minInBST(root) {
// BST中最小的数
if (root.left) return minInBST(root.left);
return root;
}
function maxBST(root) {
// BST中最大的数
if (root.right) return maxBST(root.right);
else return root;
}
其它树
完全二叉树、满二叉树
散列表(哈希表)
堆
参考资料:
堆可以用完全二叉树来表示。堆可分为两类,分别是最大堆和最小堆。对于最小堆,每个根结点值都小于等于其左右子节点;对于最大堆,每个根结点值都大于等于其左右子节点;这里以最大堆为例。 常常和优先队列
堆的表示
堆一般使用数组来表示:
如图所示,设根节点下标为x,则左子节点下标=x2,右子节点下标=x2+1。根结点下标=孩子结点下标 / 2。
二叉堆的相关操作
以最大堆为例
// 插入元素、上浮操作(将大的数上浮到顶部)
// 删除最大数、下沉操作(先将最大数[在堆顶]与最后一个元素交换,删除最后一个元素,然后将堆顶元素下沉到合适位置)
优先队列
优先队列包括最大优先队列、最小优先队列。而优先队列的底层数据结构就是堆,最大堆–>最大优先队列,最小堆–>最小优先队列。
优先队列的ADT:
// --- 优先队列主要操作 ---
insert(key, data) // 元素入队操作,以key为排序依据,data为数据
deleteQueueTop(key) // 删除堆顶元素(最小 / 最大)
getQueueTop(key) // 返回堆顶元素
// --- 优先队列辅助操作 ---
第k最小/第k最大:返回优先队列中键值为第k个最小/最大的元素
大小(size):返回优先队列中的元素个数
堆排序(Heap Sort):基于键值的优先级将优先队列中的元素进行排序
具体实现:
参考:二叉堆实现优先级队列
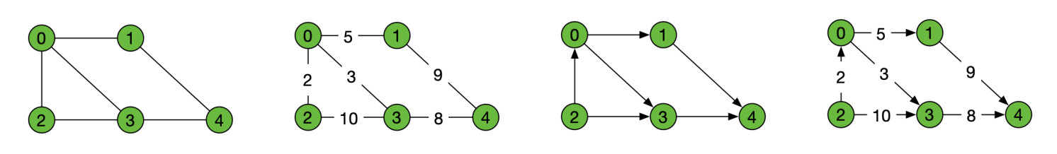
图
参考资料:
图的分类
无向图、有向图、无向权重图、有向权重图

图的表示方法
- 边列表

- 邻接矩阵

- 邻接表

- 逆邻接表

图的实现
扩展
LRU算法
数据结构的构造为:哈希表+双向链表